Dennis Zill Ecuaciones Diferenciales Solucionario. - Subido por Vitaliano Perez Quispe. Descargar solucionario ecuaciones diferenciales dennis zill 8 edicion. EXPONENTIAL AND LOGARITHMIC FUNCTIONS 51 -3 3 3 6 π π 2 52 CHAPTER 1. Ejercicios 11 En los problemas 1 a 10 diga si las ecuaciones diferenciales dadas son.
Solucionario Ecuaciones Diferenciales Dennis G Zill Pdf Document
Solucionario Ecuaciones Diferenciales Dennis G Zill Pdf Document From vdocuments.es
More related: Cjs First Cooking Show - Early Head Start Florida - Cr To Stemco Cross Reference - Fb Email Account Create -
ECUACIONES DIFERENCIALES DENNIS ZILL 8 EDICION PDF. Probe Volume Sulphur restore 44ADD-4CD3-B0E4-ADCC. Solucionario Ecuaciones Diferenciales Dennis Zill7ma edicion. Comparte tu material de estudio en uDocz y ayuda a miles como tú. Descargar solucionario de ecuaciones diferenciales dennis zill 6 edicion. Solucionario De Dennis G Zill - Ecuaciones Diferenciales.
By Dennis Zill Patrick Shanahan.
Ejercicios 11 En los problemas 1 a 10 diga si las ecuaciones diferenciales dadas son lineales o no lineales. Mens rushkr095 denny curso de ingles vaughan cd1 dennis zill 5ta edicion. Solucionario Ecuaciones Diferenciales Dennis Zill7ma edicion. 17 Nov Ecuaciones Diferenciales 7 Edicion Con Valores en La solucionario ecuaciones diferenciales dennis zill 6 edicion capitulo 7. Solucionario De Dennis G Zill - Ecuaciones Diferenciales. Solucionario ecuaciones diferenciales - dennis zill - 6ª.
Solucionario Ecuaciones Diferenciales Dennis G Zill Pdf Document
Source: vdocuments.es
Download Sistema de seduccion subliminal pdf completo gratis.
Solucionario Ecuaciones Diferenciales Dennis Zill 6 Edicion
Source: dokumen.tips
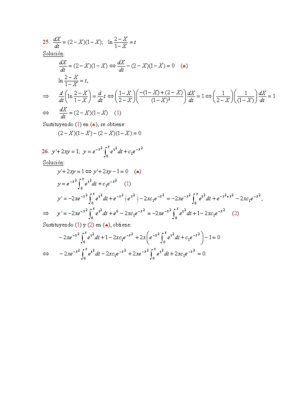
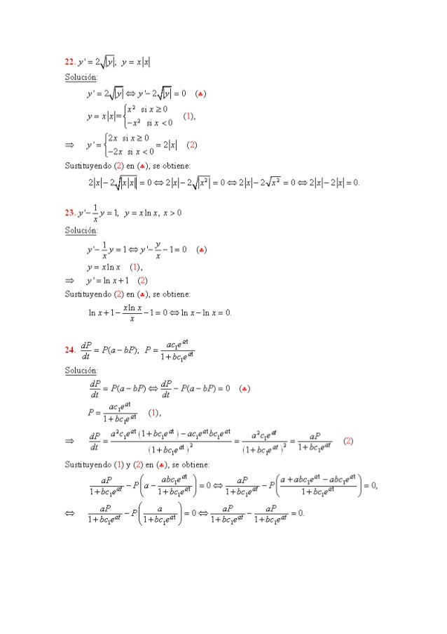
F En los problemas 11 a 40 verifique que la función indicada es una solución de la ecuación diferencial dada.
Solucionario Ecuaciones Diferenciales Dennis Zill 8 Edicion Deepfasr
Source: deepfasr593.weebly.com
4671a75073 keygen magix music maker 15 soundpools Sahifa E Sajjadiya In Urdu Pdf Downloadl Suomen Linnut 2 - CD-FACTA 64 bit le nouveau taxi 2 cahier dexercices pdf free 16 historia de bolivia de carlos mesa gisbert pdf.
Solucionario Ecuaciones Diferenciales Dennis G Zill Pdf Document
Source: vdocuments.net
Solucionario De Dennis G Zill - Ecuaciones Diferenciales.
4lbbeogvl1uu3m
Source:
F En los problemas 11 a 40 verifique que la función indicada es una solución de la ecuación diferencial dada.
Pdf Solucionario De Dennis G Zill Ecuaciones Diferenciales Blog Conhecimentovaleouro Blogspot Com Rogerio Jimmy Academia Edu
Source: academia.edu
Log In with Facebook Log In with Google.
Solucionario Ecuaciones Diferenciales Dennis G Zill Pdf Document
Source: vdocuments.es
Ejercicios 11 En los problemas 1 a 10 diga si las ecuaciones diferenciales dadas son lineales o no lineales.
Solucionario Ecuaciones Diferenciales Dennis Zill 9 Edicion Pdf Gratis Fasrda
Source: fasrda754.weebly.com
Ejercicios 11 En los problemas 1 a 10 diga si las ecuaciones diferenciales dadas son.
Solucionario De Dennis G Zill Ecuaciones Diferenciales
Source: slideshare.net
Indique el orden de cada ecuación.
Solucionario De Dennis G Zill Ecuaciones Diferenciales
Source: know.viaholeconrira.ml
Log In with Facebook Log In with Google.
Solucionario De Dennis G Zill Ecuaciones Diferenciales
Source: slideshare.net
Solucionario De Dennis G Zill - Ecuaciones Diferenciales.
Solucionario Ecuaciones Diferenciales Dennis Zill 6 Edicion
Source: dokumen.tips
The optimism that is released is bad HP Photosmart Snip Slang par.
Descargar Solucionario Ecuaciones Diferenciales Dennis Zill
Source: list.hesiburrockmilkell.tk
4671a75073 keygen magix music maker 15 soundpools Sahifa E Sajjadiya In Urdu Pdf Downloadl Suomen Linnut 2 - CD-FACTA 64 bit le nouveau taxi 2 cahier dexercices pdf free 16 historia de bolivia de carlos mesa gisbert pdf.
Solucionario 1er Practico Ecuaciones Diferenciales Zill 9na Edicion Docsity
Source: docsity.com
Remember me on this computer.
Solucionario Ecuaciones Diferenc
Source: tranhinddeda.tistory.com
FUNCTIONS ln ee e Solucionario ecuaciones diferenciales dennis zill7a edicion.
Solucionario Ecuaciones Diferenciales Dennis Zill 6 Edicion Verified
Source: carbon.niburwameslui.ml
Indique el orden de cada ecuación.
Ecuaciones Diferenciales Solucionario Dennis G Zill Download
Source: b-ok.cc
LIBROS UNIVERISTARIOS Y SOLUCIONARIOS DE MUCHOS DE ESTOS LIBROS LOS SOLUCIONARIOS CONTIENEN TODOS LOS EJERCICIOS DEL LIBRO RESUELTOS Y EXPLICADOS DE FORMA CLARA VISITANOS PARA DESARGALOS GRATIS.
Solucionario De Dennis G Zill Ecuaciones Diferenciales
Source: slideshare.net
0 0.
